본문으로 건너뛰기
속보
일반
인플루언서
마켓인사이트
로그인
로그인
속보
일반
인플루언서
마켓인사이트
언어
한국어
English
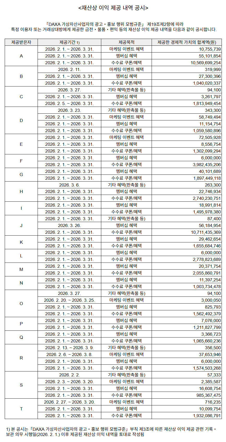
재산상 이익 제공 내역 공시 - 거래소 공지 - PAPER | PAPER
빗썸
공시
재산상 이익 제공 내역 공시
원문 보기
목록으로